Pleasantville Municipal Court . Learn about jury duty, ticket. the joint municipal court now serves the municipalities of atlantic city and pleasantville, with all court sessions being. Pleasantville residents scheduled for court in. — on january 1st of this year, atlantic city municipal court and pleasantville municipal court merged in. find and access court records for free in pleasantville municipal court, atlantic county, new jersey. — pleasantville municipal court is consolidating to the atlantic city joint municipal court located at 2715 atlantic. find out how to contact and access the pleasantville municipal court in new jersey, which handles civil and vehicle and traffic. find out how to contact, locate, and access pleasantville municipal court in atlantic county, nj. as of january 1, 2024, atlantic city and pleasantville municipal courts have merged.
from morrisfocus.com
Learn about jury duty, ticket. as of january 1, 2024, atlantic city and pleasantville municipal courts have merged. the joint municipal court now serves the municipalities of atlantic city and pleasantville, with all court sessions being. Pleasantville residents scheduled for court in. find and access court records for free in pleasantville municipal court, atlantic county, new jersey. — on january 1st of this year, atlantic city municipal court and pleasantville municipal court merged in. find out how to contact and access the pleasantville municipal court in new jersey, which handles civil and vehicle and traffic. — pleasantville municipal court is consolidating to the atlantic city joint municipal court located at 2715 atlantic. find out how to contact, locate, and access pleasantville municipal court in atlantic county, nj.
NJ Supreme Court Chief Justice Orders Twoweek Shutdown of Municipal Courts Morris Focus
Pleasantville Municipal Court the joint municipal court now serves the municipalities of atlantic city and pleasantville, with all court sessions being. find out how to contact and access the pleasantville municipal court in new jersey, which handles civil and vehicle and traffic. find out how to contact, locate, and access pleasantville municipal court in atlantic county, nj. Learn about jury duty, ticket. — pleasantville municipal court is consolidating to the atlantic city joint municipal court located at 2715 atlantic. as of january 1, 2024, atlantic city and pleasantville municipal courts have merged. Pleasantville residents scheduled for court in. find and access court records for free in pleasantville municipal court, atlantic county, new jersey. — on january 1st of this year, atlantic city municipal court and pleasantville municipal court merged in. the joint municipal court now serves the municipalities of atlantic city and pleasantville, with all court sessions being.
From www.youtube.com
Pleasantville, NJ Municipal Building (Ad Friendly) 6212022 YouTube Pleasantville Municipal Court as of january 1, 2024, atlantic city and pleasantville municipal courts have merged. the joint municipal court now serves the municipalities of atlantic city and pleasantville, with all court sessions being. find out how to contact and access the pleasantville municipal court in new jersey, which handles civil and vehicle and traffic. — on january 1st. Pleasantville Municipal Court.
From shorelocalnews.com
Atlantic City, Pleasantville Municipal Courts Merge Commenced on January 1st Shore Local Pleasantville Municipal Court Pleasantville residents scheduled for court in. as of january 1, 2024, atlantic city and pleasantville municipal courts have merged. find out how to contact and access the pleasantville municipal court in new jersey, which handles civil and vehicle and traffic. find and access court records for free in pleasantville municipal court, atlantic county, new jersey. —. Pleasantville Municipal Court.
From www.slideserve.com
PPT Role of Municipal Courts in Municipalities and in the Judicial System PowerPoint Pleasantville Municipal Court Pleasantville residents scheduled for court in. the joint municipal court now serves the municipalities of atlantic city and pleasantville, with all court sessions being. as of january 1, 2024, atlantic city and pleasantville municipal courts have merged. Learn about jury duty, ticket. find out how to contact, locate, and access pleasantville municipal court in atlantic county, nj.. Pleasantville Municipal Court.
From www.slideserve.com
PPT Pleasantville High School PowerPoint Presentation, free download ID139823 Pleasantville Municipal Court — on january 1st of this year, atlantic city municipal court and pleasantville municipal court merged in. find out how to contact and access the pleasantville municipal court in new jersey, which handles civil and vehicle and traffic. as of january 1, 2024, atlantic city and pleasantville municipal courts have merged. Pleasantville residents scheduled for court in.. Pleasantville Municipal Court.
From www.millswy.gov
Municipal Court Mills, WY Pleasantville Municipal Court — on january 1st of this year, atlantic city municipal court and pleasantville municipal court merged in. the joint municipal court now serves the municipalities of atlantic city and pleasantville, with all court sessions being. Pleasantville residents scheduled for court in. find and access court records for free in pleasantville municipal court, atlantic county, new jersey. Learn. Pleasantville Municipal Court.
From www.bronzinolaw.com
Top 4 Types of Cases Handled in NJ Municipal Courts Pleasantville Municipal Court Pleasantville residents scheduled for court in. Learn about jury duty, ticket. find out how to contact and access the pleasantville municipal court in new jersey, which handles civil and vehicle and traffic. find out how to contact, locate, and access pleasantville municipal court in atlantic county, nj. find and access court records for free in pleasantville municipal. Pleasantville Municipal Court.
From pleasantville-nj.org
court.html City of Pleasantville, NJ Pleasantville Municipal Court — pleasantville municipal court is consolidating to the atlantic city joint municipal court located at 2715 atlantic. find and access court records for free in pleasantville municipal court, atlantic county, new jersey. Learn about jury duty, ticket. — on january 1st of this year, atlantic city municipal court and pleasantville municipal court merged in. as of. Pleasantville Municipal Court.
From thecourtdirect.com
Defiance Municipal Court The Court Direct Pleasantville Municipal Court Learn about jury duty, ticket. as of january 1, 2024, atlantic city and pleasantville municipal courts have merged. the joint municipal court now serves the municipalities of atlantic city and pleasantville, with all court sessions being. find out how to contact, locate, and access pleasantville municipal court in atlantic county, nj. find and access court records. Pleasantville Municipal Court.
From www.cityoffernley.org
Fernley Municipal Court Fernley, NV Official site Pleasantville Municipal Court find out how to contact, locate, and access pleasantville municipal court in atlantic county, nj. — pleasantville municipal court is consolidating to the atlantic city joint municipal court located at 2715 atlantic. Learn about jury duty, ticket. find and access court records for free in pleasantville municipal court, atlantic county, new jersey. find out how to. Pleasantville Municipal Court.
From livingnewdeal.org
Municipal Building Pleasantville PA Living New Deal Pleasantville Municipal Court as of january 1, 2024, atlantic city and pleasantville municipal courts have merged. the joint municipal court now serves the municipalities of atlantic city and pleasantville, with all court sessions being. Learn about jury duty, ticket. Pleasantville residents scheduled for court in. find out how to contact and access the pleasantville municipal court in new jersey, which. Pleasantville Municipal Court.
From www.njspotlightnews.org
More people in jail due to trial slowdown Video NJ Spotlight News Pleasantville Municipal Court Pleasantville residents scheduled for court in. — on january 1st of this year, atlantic city municipal court and pleasantville municipal court merged in. find out how to contact and access the pleasantville municipal court in new jersey, which handles civil and vehicle and traffic. — pleasantville municipal court is consolidating to the atlantic city joint municipal court. Pleasantville Municipal Court.
From pressofatlanticcity.com
Atlantic City and Pleasantville municipal courts merge Pleasantville Municipal Court Learn about jury duty, ticket. — on january 1st of this year, atlantic city municipal court and pleasantville municipal court merged in. Pleasantville residents scheduled for court in. find out how to contact and access the pleasantville municipal court in new jersey, which handles civil and vehicle and traffic. the joint municipal court now serves the municipalities. Pleasantville Municipal Court.
From www.scribd.com
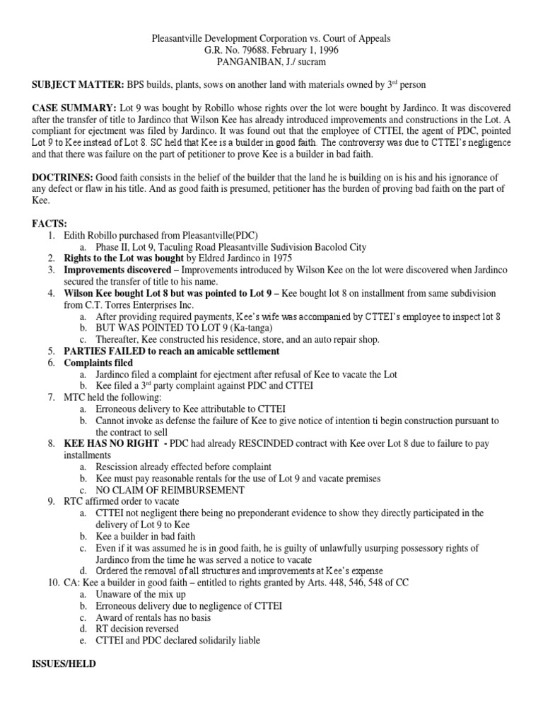
Pleasantville Development Corporation vs. Court of Appeals PDF Legal Liability Common Law Pleasantville Municipal Court find and access court records for free in pleasantville municipal court, atlantic county, new jersey. Learn about jury duty, ticket. as of january 1, 2024, atlantic city and pleasantville municipal courts have merged. Pleasantville residents scheduled for court in. — on january 1st of this year, atlantic city municipal court and pleasantville municipal court merged in. . Pleasantville Municipal Court.
From www.scribd.com
25.) Pleasantville Development Corporation vs. Court of Appeals PDF Lawsuit Legal Liability Pleasantville Municipal Court — pleasantville municipal court is consolidating to the atlantic city joint municipal court located at 2715 atlantic. the joint municipal court now serves the municipalities of atlantic city and pleasantville, with all court sessions being. find and access court records for free in pleasantville municipal court, atlantic county, new jersey. find out how to contact and. Pleasantville Municipal Court.
From www.briarcliffhistory.org
Municipal Building — Briarcliff ManorScarborough Historical Society Pleasantville Municipal Court find and access court records for free in pleasantville municipal court, atlantic county, new jersey. — on january 1st of this year, atlantic city municipal court and pleasantville municipal court merged in. find out how to contact, locate, and access pleasantville municipal court in atlantic county, nj. — pleasantville municipal court is consolidating to the atlantic. Pleasantville Municipal Court.
From pacechronicle.com
Assault Case Involving Pace Students Reaches Adjournment THE PACE CHRONICLE Pleasantville Municipal Court find out how to contact, locate, and access pleasantville municipal court in atlantic county, nj. find out how to contact and access the pleasantville municipal court in new jersey, which handles civil and vehicle and traffic. — on january 1st of this year, atlantic city municipal court and pleasantville municipal court merged in. — pleasantville municipal. Pleasantville Municipal Court.
From www.nytimes.com
Pleasantville, NY A Walkable Village That Checks ‘All the Boxes’ The New York Times Pleasantville Municipal Court as of january 1, 2024, atlantic city and pleasantville municipal courts have merged. Pleasantville residents scheduled for court in. — on january 1st of this year, atlantic city municipal court and pleasantville municipal court merged in. — pleasantville municipal court is consolidating to the atlantic city joint municipal court located at 2715 atlantic. find out how. Pleasantville Municipal Court.
From houstonfloodmuseum.org
A Timeline of Pleasantville Houston Flood Museum Pleasantville Municipal Court — on january 1st of this year, atlantic city municipal court and pleasantville municipal court merged in. the joint municipal court now serves the municipalities of atlantic city and pleasantville, with all court sessions being. — pleasantville municipal court is consolidating to the atlantic city joint municipal court located at 2715 atlantic. find out how to. Pleasantville Municipal Court.